×
模态框(Modal)标题
在这里添加一些文本
Close
Close
Submit
Cancel
Confirm
×
模态框(Modal)标题
×
Toggle navigation
Home
About
About Journal
Editor-in-Chief
Editorial Board
Awards and Honors
Indexed In
Impact Factor
Instruction
Instruction for Authors
Fees
Online Submission
Journal Online
Just Accepted
Current Issue
Archive
Most Read
Most Download
Most Cited
E-mail Alert
RSS
Specification
Paper Structure/Writing
Word Standardization
Unit of Measurement
Punctuation
Typographic Format/Template
Reference Format
Subscription
Advertising Service
Advertising Notice
Advertising Fee
Contact Us
中文
China Cotton
Figure/Table detail
The effect of different pruning methods on the storage substances of upland cotton seeds
Sibinuer Abudoukeremu, Zhao Yunlong, Airixiati Yumaier, Zhang Wenbin, Chen Quanjia, Wang Yuxiang, Deng Xiaojuan
Cotton Science
, 2025, 37(
5
): 439-454. DOI:
10.11963/cs20250006
Fig. S5
C22:2, C14:1, C15:1, and C17:1 contents in cottonseed under different pruning methods
Other figure/table from this article
Fig. 1
Total cottonseed protein content under different pruning methods
The same lowercase letters indicate no significant difference (
P
≥ 0.05).
Fig. 2
Valine, methionine, phenylalanine, and tryptophan contents of cottonseed under different pruning methods
Different lowercase letters indicate significant difference (
P
< 0.05).
Fig. 3
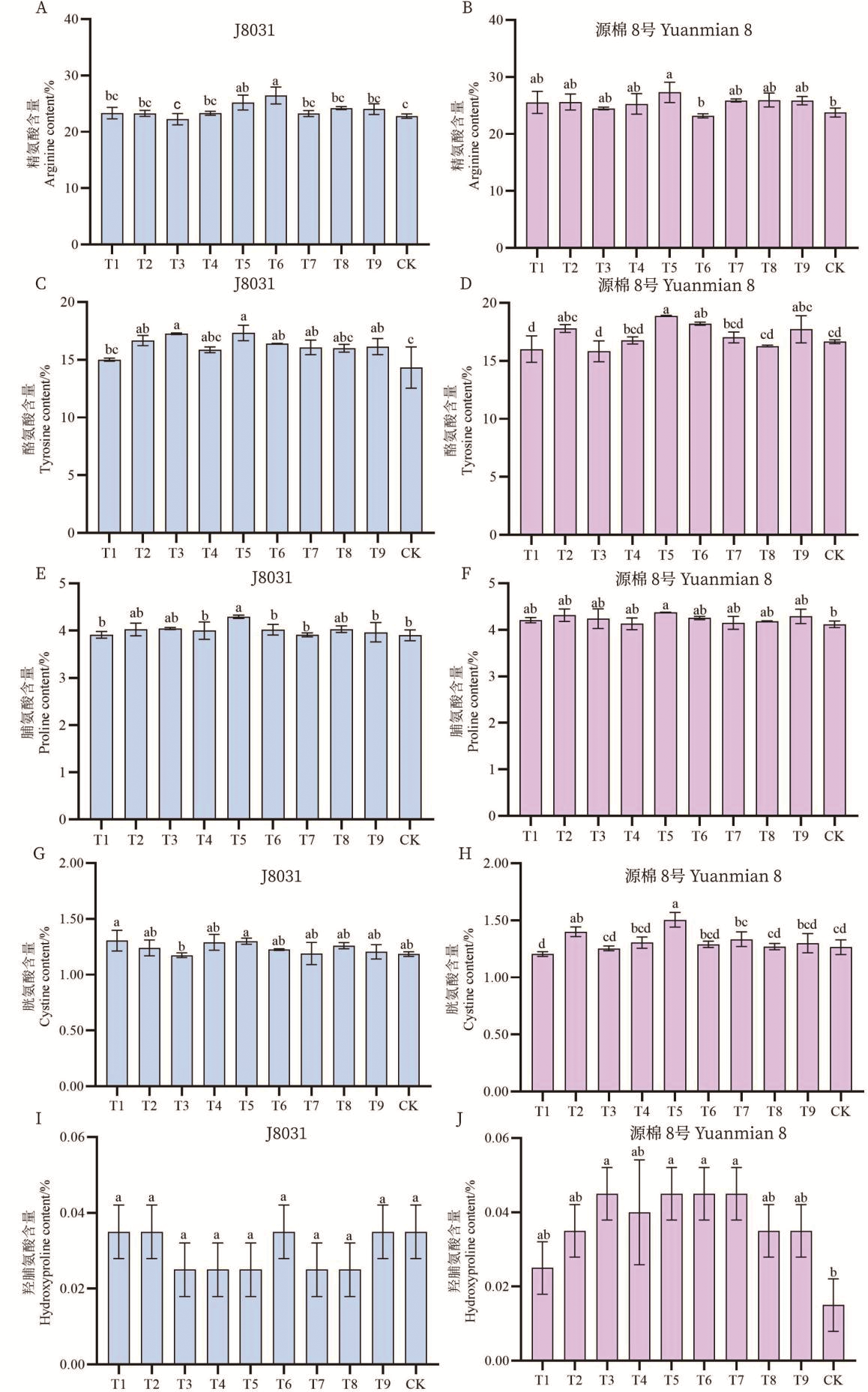
Arginine, tyrosine, proline, cystine, and hydroxyproline contents of cottonseed under different pruning methods
Different lowercase letters indicate significant difference (
P
< 0.05).
Fig. 4
Total fat content of cottonseed under different pruning methods
Different lowercase letters indicate significant difference (
P
< 0.05).
Fig. 5
Contents of saturated fatty acids C16:0, C17:0, and C18:0 in cottonseed under different treatments
Different lowercase letters indicate significant difference (
P
< 0.05).
Fig. 6
Contents of saturated fatty acids C14:0, C20:0, C21:0, and C24:0 in cottonseed under different treatments
Different lowercase letters indicate significant difference (
P
< 0.05).
Fig. 7
Contents of unsaturated fatty acids C18:2, C18:3n3 in cottonseed under different treatments
Different lowercase letters indicate significant difference (
P
< 0.05).
Fig. 8
Contents of unsaturated fatty acids C20:2, C20:5n3, C16:1, C18:1 and C20:1n9 in cottonseed under different treatments
Different lowercase letters indicate significant difference (
P
< 0.05).
Fig. 9
Gossypol content in cottonseed under different pruning methods
Different lowercase letters indicate significant difference of gossypol with the same optical rotation (
P
< 0.05).
Fig. S1
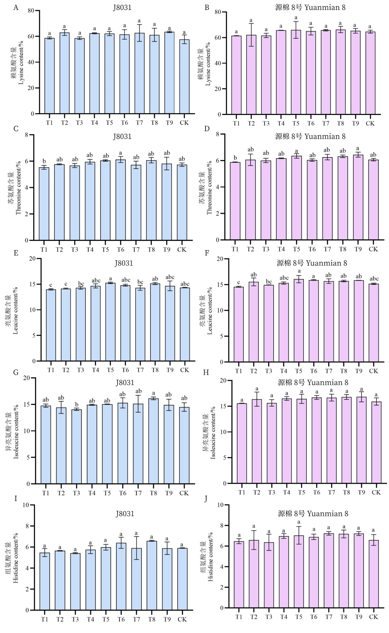
Lysine, threonine, leucine, isoleucine, and histidine contents in cottonseed under different pruning methods
Fig. S2
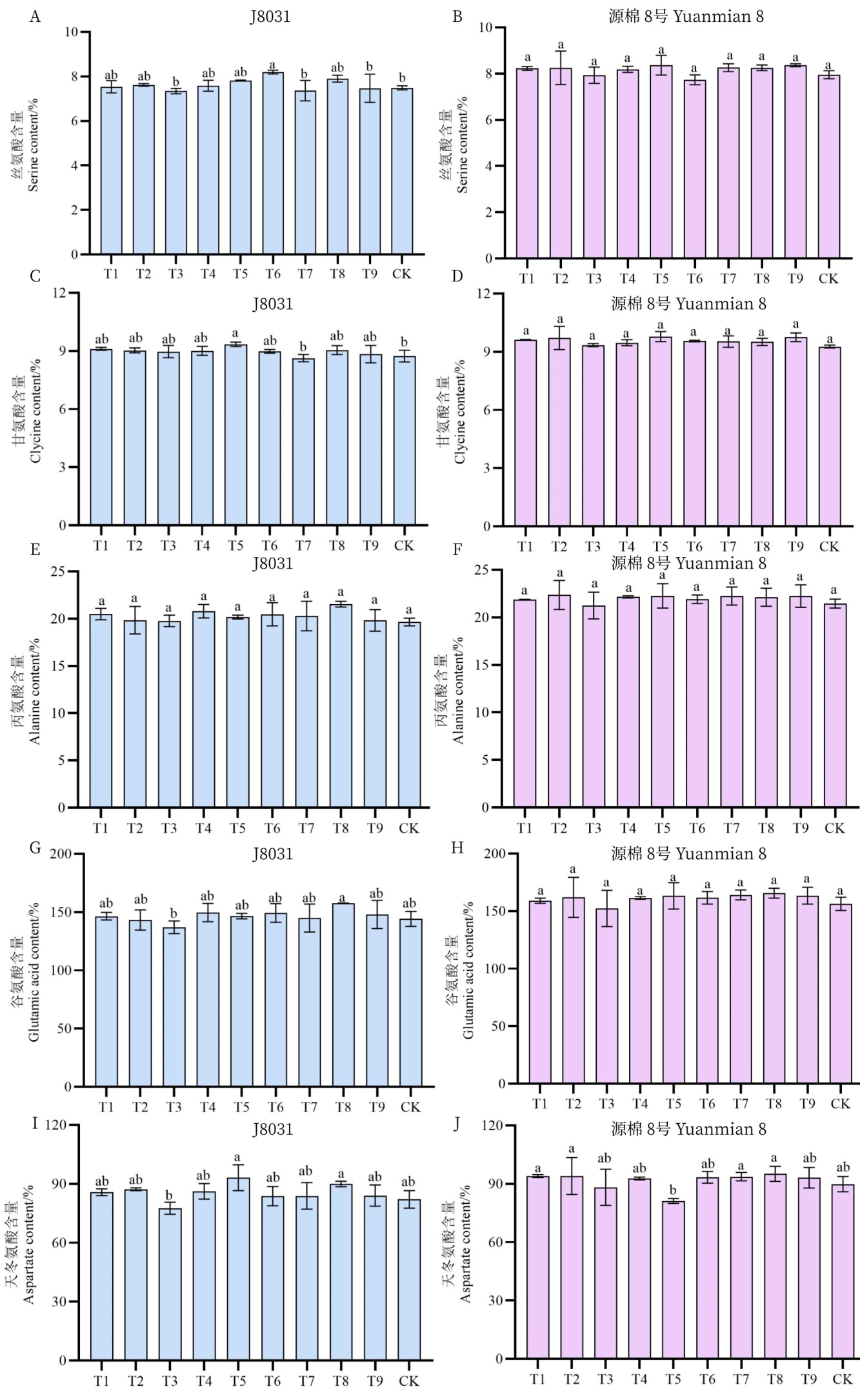
Serine, glycine, alanine, glutamic acid, and aspartic acid contents in cottonseed under different pruning methods
Fig. S3
C6:0, C8:0, C10:0, C11:0, and C12:0 contents in cottonseed under different pruning methods
Fig. S4
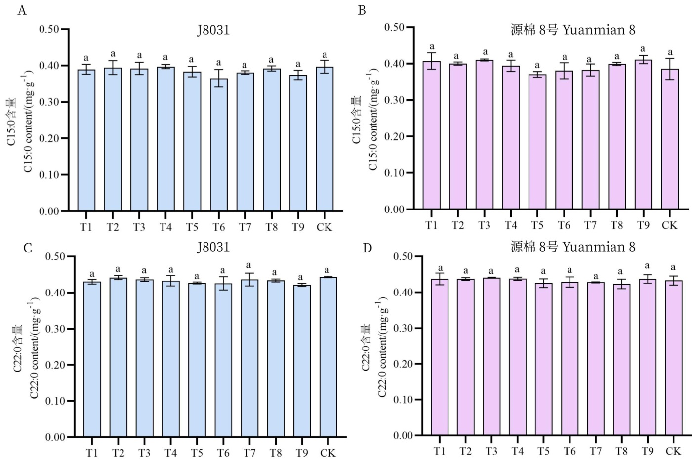
C15:0 and C22:0 contents in cottonseed under different pruning methods